https://i.imgur.com/N6GrYLn.jpg
https://i.imgur.com/tWltJaW.jpg
https://i.imgur.com/vHVNJgA.jpg
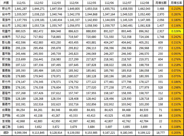
2023年08月全國人口出爐 人口:23,399,654 增加:7,231(+0.031%) 戶數:9,199,122 增加:18,777(+0.205%) 戶量(人口/戶數):2.544 減少:-0.173% (人口) 減少組: 1. 嘉義縣:-368(-0.076%) 2. 南投縣:-341(-0.0713%) 3. 雲林縣:-469(-0.0709%) 4. 彰化縣:-748(-0.060%) - 量最多 5. 台東縣:-126(-0.059%) 6. 屏東縣:-430(-0.054%) 7. 花蓮縣:-78(-0.025%) 8. 台北市:-355(-0.014%) 9. 基隆市:-43(-0.012%) 增加組: 1. 連江縣:+23(+0.164%) 2. 桃園市:+3,205(+0.139%) - 量最多 3. 金門縣:+181(+0.126%) 4. 新竹縣:+515(+0.088%) 5. 台中市:+2,213(+0.078%) 6. 新北市:+2,846(+0.071%) 7. 新竹市:+159(+0.035%) 8. 澎湖縣:+32(+0.030%) 9. 台南市:+499(+0.027%) 10. 宜蘭縣:+119(+0.026%) 11. 苗栗縣:+87(+0.016%) 12. 高雄市:+284(+0.0104%) 13. 嘉義市:+26(+0.0099%) (戶數) 1. 桃園市:+2,917(+0.326%) 2. 宜蘭縣:+528(+0.298%) 3. 台中市:+2,970(+0.283%) 4. 新竹縣:+604(+0.276%) 5. 台南市:+1,748(+0.242%) 6. 苗栗縣:+433(+0.218%) 7. 新北市:+3,488(+0.210%) - 量最多 8. 基隆市:+312(+0.197%) 9. 金門縣:+84(+0.193%) 10. 新竹市:+331(+0.186%) 11. 高雄市:+2,056(+0.180%) 12. 嘉義市:+158(+0.153%) 13. 彰化縣:+609(+0.151%) 14. 台北市:+1,437(+0.136%) 15. 屏東縣:+372(+0.125%) 16. 連江縣:+4(+0.108%) 17. 花蓮縣:+128(+0.100%) 18. 雲林縣:+230(+0.093%) 19. 台東縣:+71(+0.084%) 20. 嘉義縣:+140(+0.0753%) 21. 南投縣:+135(+0.0749%) 22. 澎湖縣:+22(+0.051%) (戶量) 減少組: 1. 宜蘭縣:-0.270% 2. 台南市:-0.215% 3. 彰化縣:-0.210% 4. 基隆市:-0.208% 5. 台中市:-0.204% 6. 苗栗縣:-0.202% 7. 新竹縣:-0.188% 8. 桃園市:-0.187% 9. 屏東縣:-0.179% 10. 高雄市:-0.169% 11. 雲林縣:-0.164% 12. 新竹市:-0.151% 12. 嘉義縣:-0.151% 14. 台北市:-0.149% 15. 南投縣:-0.146% 16. 嘉義市:-0.143% 16. 台東縣:-0.143% 18. 新北市:-0.139% 19. 花蓮縣:-0.124% 20. 金門縣:-0.066% 21. 澎湖縣:-0.022% 增加組: 1. 連江縣:+0.056% -- ※ 發信站: 批踢踢實業坊(ptt-club.com.tw), 來自: 114.25.145.201 (臺灣) ※ 文章網址: https://ptt-club.com.tw/home-sale/M.1694279002.A.DB5
shiauber: 怎麼沒有橋頭!! 09/10 01:13
shiauber: 護國神區,人口一定大爆增 09/10 01:13
backpacker18: 上個月不是一堆人吹說高雄要開始磁吸北部人 09/10 01:18
backpacker18: 南漂時代要開始了? 咦? 09/10 01:18
PTTMAXQQ: 台中真的人好多…一直吸不停 09/10 02:35
T730733: 歐美包養真的很平常嗎? 09/10 02:35
g11121s: 台南!居然增加!台南有多大,知道嗎!居然增加,代表某 09/10 06:30
g11121s: 區域的人口爆炸多 09/10 06:30
scitamehtam: 新竹縣市也太強了 09/10 06:41
scitamehtam: 台北市爛,爛執政不意外 09/10 06:41
scitamehtam: 台北市繼續給藍白執政,繼續沒落下去 09/10 06:42
FireStation: 男友上包養網 該放生嗎 09/10 06:42
Jodaro: 台中真的很強 我大台中房價追上北市遲早的事 09/10 07:28
encoreg57985: sci不知道紐約市中心人口也下降嗎 無知哈 09/10 07:43
asdzxc001: 什麼少子化 17外籍生起來 09/10 08:07
inji: 北桃,中彰,南高,三大都會區 09/10 08:08
scitamehtam: 台北市首都搞得跟鄉下一樣外移XDD 藍白執政真的不簡 09/10 08:11
Thobel: 是這個包養平台嗎 09/10 08:11
scitamehtam: 單 09/10 08:11
inji: 竹苗 雲嘉 次級生活圈 09/10 08:11
Kewseq: 柯才是打房首選 09/10 08:12
Kewseq: 八年流失20萬人 09/10 08:12
scitamehtam: 白色新政治,台北執政八年人口遺失20萬,表現比鄉下 09/10 08:15
Reji: 交男友跟包養有什麼差別 09/10 08:15
scitamehtam: 還爛,整天笑台南高雄XD 09/10 08:15
scitamehtam: 薪資被非六都新竹縣市電爆,越差越大,結果還是首都 09/10 08:16
scitamehtam: 耶!藍白執政的品質,大家看清楚了 09/10 08:16
butterfly903: 這裡是房版不是政治版,滾 09/10 08:34
supreme0731: 笑死 是房價越來越貴 跑去其他縣市吧 09/10 08:44
Hathael: 包養網到底在紅什麼? 09/10 08:44
a19851106: 台中不敢講,笑 09/10 08:45
Celtic8879: 疫情除籍的都差不多回來了 又要開始負成長囉 09/10 09:32
TAYLOR888: 政治腦到瘋了 可憐啊 09/10 09:36
encoreg57985: sci怎不看新北、連江、金門及台中藍營執政屌打綠共 09/10 09:37
encoreg57985: 執政台南、高雄、屏東 09/10 09:37
yovroc: 有人被包養 09/10 09:37
blargelp: 桃園有夠多人 A7? 09/10 10:05
limit9999: 台中每年光吸收 彰化縣外移人口就飽了 09/10 10:37
dennistao: 不要再來台中擠了 09/10 10:42
mountain821: 政治腦真的可悲,還蠢到不會思考,慘 09/10 10:42
kusomanfcu: 新北市人口要突破歷史高點了 09/10 10:43
helgalie: 求包養...管飽就好XD 09/10 10:43
kusomanfcu: https://i.imgur.com/MeVGOMe.jpg 09/10 10:55
eddie0729: 捷運真的幫新竹帶入好多人口喔 09/10 11:09
kusomanfcu: https://i.imgur.com/ohDnDkU.jpg 09/10 11:22
kusomanfcu: 人口這些地方持續減少 大概是這樣 09/10 11:22
gm3252: 桃園起飛 09/10 12:06
OREOMZA: 阿姨!我不想努力了(求包養) 09/10 12:06
a20731: 解封復籍紅利應該到頭了 09/10 13:25
a20731: 年底很多基本面不好的縣市會回到負增長 09/10 13:25
a20731: 再來會增長的縣市只有 新北 桃 中 竹 竹 09/10 13:25
rockhart: 台北市人口減少是因為房價太高吧,硬要扯施政可憐 09/10 13:27
scitamehtam: 台北越拉越爛是不爭的事實,崩潰什麼? 八年人口外 09/10 13:37
punjab: 有沒有富二代要包養 09/10 13:37
scitamehtam: 移超過20萬,誰能出其右?八年沒通一條捷運,好棒棒 09/10 13:37
scitamehtam: 新政治,整天鬼扯跟中央作對,然後一直被打臉,經濟 09/10 13:37
scitamehtam: 面還輸非六都的新竹縣市,有這種首都? 09/10 13:37
scitamehtam: 高雄近年積極轉型,爭取前瞻經費霸群雄,台積電先進 09/10 13:39
scitamehtam: 製程最後也確實引進,反觀台北市,產業一直被超車, 09/10 13:39
sashare: 身邊有朋友被包養 09/10 13:39
scitamehtam: 人口失望性外移越來越多,建商停滯,南漂竹票也成顯 09/10 13:39
scitamehtam: 學,然後質疑施政,就被酸? 台北市民水準不意外 09/10 13:39
scitamehtam: 會選出高級外省人章市長,水準真的被看破囉 09/10 13:41
TAYLOR888: https://i.imgur.com/unsDQ4a.jpg 09/10 13:54
ausome: http://i.imgur.com/3GYI2uT.jpg 09/10 15:51
sijiex: 亞洲最大包養平台上線了 09/10 15:51