大家好 最近統計了PLG六支球隊的平均出手和平均得分數據 根據球員身份來進行分類(洋將/本土/外籍/華裔) 整理出一些有趣的發現 (有些是大家已知印象,透過數據再次應證) https://i.imgur.com/RyZ5K3A.jpg
https://i.imgur.com/8b7Hsj0.jpg
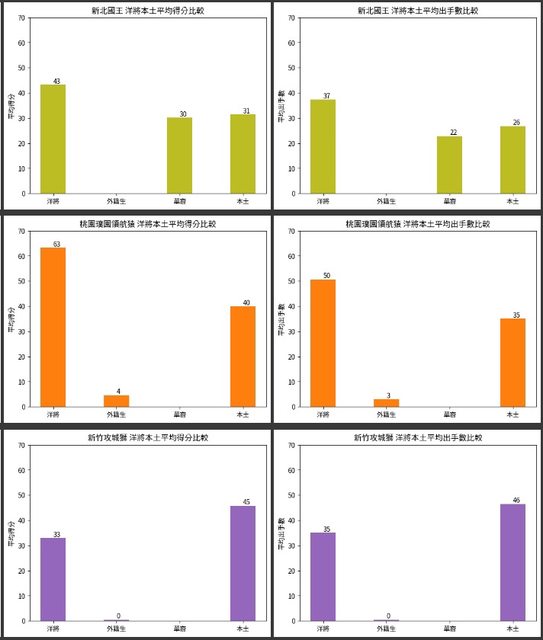
六支球隊可以分成三個類型 -領航猿/鋼鐵人:洋將>本土>外籍生 -國王/夢想家:洋將>華裔>本土 -勇士/攻城獅:本土出手得分都大於洋將 比較意外是 攻城獅的圖表看起來跟富邦很像 都是本土的出手數大於洋將 (想比對去年的數據,但因為離隊球員網頁上無法查詢身份,所以無法用程式自動分類) #洋將部份 -領航猿的洋將出手數跟得分都是最多,得分效率最好(出手:50/得分:63) -攻城獅的洋將得分效率最差(出手:35/得分:33) #本土部分 -國王的本土得分效率最好(出手:26/得分:31) // 國王兩位東超限定本土還沒回來 -攻城獅的本土得分效率最差(出手:46/得分:45) 總的來說 每支球隊都有其獨特的特色 這對於比賽策略和對抗對手都有著重要的意義 大家怎麼看待這些數據? 歡迎在下面留言討論 // 結尾由chatgtp生成 XD -- ※ 發信站: 批踢踢實業坊(ptt-club.com.tw), 來自: 1.200.25.214 (臺灣) ※ 文章網址: https://ptt-club.com.tw/basketballTW/M.1701833289.A.BC4
JoelAyayi : P現在非本土的人次太多了12/06 11:33
JoelAyayi : 如果想砍華裔名額 夢跟王一定反對 12/06 11:33
JoelAyayi : 明年訂一個合理的規則很重要12/06 11:33
xvited945 : 勇士這季的新洋將有夠爛12/06 11:34
xvited945 : 尤其是石門,完全看不出他的用處12/06 11:34
SEDAP: 男友上包養網 該放生嗎12/06 11:34
joejoe14758 : 除以出場分鐘數 感覺比較合理12/06 11:35
joejoe14758 : 不然華裔 外籍生只有1,2個 要怎麼比12/06 11:35
joejoe14758 : 這樣乾脆洋將和本土比就好了12/06 11:35
kirarose : 強森這幾場打的也很爛 辛特力有一場沒一場的 12/06 11:36
ZIDENS : 外籍跟華裔感覺可以直接合併 反正名額不是算一起的12/06 11:37
TUZom: 是這個包養平台嗎12/06 11:37
ZIDENS : 嗎12/06 11:37
VIC0418 : 華裔覺得要改一隊只能一個,然後強迫配外籍生,不然12/06 11:37
VIC0418 : 照顧外籍生真的喊喊而已12/06 11:37
Eos : 改華裔名額我猜會等林書豪退休才會改 聯盟不會跟錢12/06 11:38
Eos : 過不去12/06 11:38
Jiulon: 交男友跟包養有什麼差別12/06 11:38
tangblack : 一隊一場比賽,只能有一個外籍,但可以兩個華裔(沒12/06 11:38
tangblack : 記錯的話12/06 11:38
Eos : 不是喔 一場外籍華裔登錄總數只能兩個12/06 11:39
joejoe14758 : 1外籍生+1華裔 or 2華裔12/06 11:39
Eos : 應該說 每隊本來就只能登錄兩個外籍華裔 看你要 一12/06 11:40
laetuon: 包養網到底在紅什麼?12/06 11:40
Eos : 外一華 還是兩華12/06 11:40
kirarose : 現在每隊都知道對付強森的方法跟對付阿牧是一樣的 12/06 11:40
kirarose : 就一直惹他生氣就好XD12/06 11:40
tangblack : 感謝更新,想到張文平跟石博恩,我就想起來了 12/06 11:41
caseywvt : 強森傷還沒好12/06 11:41
slot365: 有人被包養12/06 11:41
reason825 : 我看P的比賽,不過每次場上怎麼看都外國人,心裡面12/06 11:41
reason825 : 真的滿滿問號12/06 11:41
tpc231250 : 攻城獅終於不靠洋將了12/06 11:42
VIC0418 : 然後華裔跟外籍生還是要往願意規劃來發展,不然跟洋12/06 11:42
VIC0418 : 將有什麼差?賺完就走了12/06 11:42
colortea: 求包養...管飽就好XD12/06 11:42
reason825 : 管他洋將華裔外籍生,最多上場2個啦,搞一堆外國人 12/06 11:42
reason825 : 的名額有夠奇怪的12/06 11:42
Eos : 感覺可以把外籍生算入一場三洋的額度裡 也就是要登12/06 11:44
Eos : 錄三洋 一定要一個是外籍生 這樣有照顧到外籍生吧12/06 11:44
ZIDENS : 喵等阿北回來應該可能會有點變化 吧12/06 11:44
glenber: 阿姨!我不想努力了(求包養)12/06 11:44
reason825 : 反正不管什麼身分,就是2個外國人3個台灣人,這樣12/06 11:45
reason825 : 比較兼顧比賽強度跟本土發展12/06 11:45
Eos : 那華裔算台灣人嗎12/06 11:46
reason825 : 華裔幫台灣打國際賽嗎?12/06 11:46
Eos : 混血算台灣人嗎 現在華裔的都是有台灣人血緣12/06 11:47
Kimbel: 有沒有富二代要包養12/06 11:47
simonqq : 2洋將+2華裔/外籍生,真的太多了12/06 11:47
qoocod0923 : 用之前t1規則 每隊可以上兩個洋將加一個三類 三類12/06 11:47
qoocod0923 : 包括外籍生華裔亞外 這樣最好12/06 11:47
simonqq : 同時在場上 12/06 11:47
ZIDENS : https://imgur.com/HCcxTqU 目前規定看起來是台灣人12/06 11:48
tale1890: 身邊有朋友被包養12/06 11:48
qoocod0923 : 改註冊三個洋將每場登陸兩個 12/06 11:48
omracnata : 沒有到奇怪吧 就補充人才的規定12/06 11:48
ZIDENS : 但打國際賽應該算歸化名額?12/06 11:48
ZIDENS : 這就又進入了認定問題了==12/06 11:48
VIC0418 : 華裔是台灣人,本土可是不能打中華隊,亞運除外?12/06 11:48
waterway: 亞洲最大包養平台上線了12/06 11:48
jumilin927 : 獅子好慘12/06 11:49
qoocod0923 : 歸化也算到3類好了 規劃滿幾年之後就算本土球員12/06 11:50
reason825 : 我是覺得能幫台灣打國際賽的才算本土啦,不過當然可 12/06 11:50
reason825 : 以參考日韓職籃作法,不然一堆華裔佔名額撈錢,對台12/06 11:50
reason825 : 灣籃球又沒幫助12/06 11:50
mark1888: 這個包養網正妹好多 是真的嗎12/06 11:50
ZIDENS : 就是會有廣義台灣人跟能打國際賽才算台灣人的認定12/06 11:50
ZIDENS : 問題12/06 11:50
qoocod0923 : 華裔跟外籍生 真的是來搶名額的12/06 11:50
VIC0418 : 華裔很多就是可以當本土才來台灣打啊12/06 11:50
qoocod0923 : 大幅壓縮本土12/06 11:50
Quaranta: 真的有這麼多人在找包養12/06 11:50
jeffers : 現在台灣11個職業球隊,不用外籍生華裔第三類這類球12/06 11:52
jeffers : 員,只會看到一堆高薪幻神12/06 11:52
Eos : 可以當本土就不佔華裔球員啦 ex.簡浩12/06 11:52
reason825 : 我是覺得能代表台灣打國際賽的才算本土,華裔不算,12/06 11:52
reason825 : 林書豪乖乖算洋將名額12/06 11:52
schlemm: 有人可以分析一下包養平台的差異嗎12/06 11:52
VIC0418 : 簡浩沒記錯剛開始是當洋將 12/06 11:52
VIC0418 : 如果都當洋將名額書豪應該會去cba12/06 11:53
reason825 : 有本事就去啊,場上5個人都4個外國人,台灣職籃耶, 12/06 11:55
reason825 : 搞屁12/06 11:55
Eos : 華裔外籍剩一個最好 剩一個併入洋將保障名額12/06 11:56
Wirol: 那個包養網人最多XD12/06 11:56
omracnata : 我也覺得合併後 隊伍減少才需要來想減少這些名額12/06 11:58
VIC0418 : 那乾脆開放4洋將同時好了,要精彩的話,華裔跟外籍12/06 11:58
VIC0418 : 生如果不能打中華隊的話,洋將更強啊,華裔跟外籍12/06 11:58
VIC0418 : 生不就是沾一點跟台灣關係就是算本土12/06 11:58
reason825 : 你本土幾乎都是上場陪外國人跑步,當然沒辦法成長 12/06 11:58
marecht: 我妹上包養網被我發現= = 12/06 11:58
reason825 : 啊,上國際賽要你持球處理怎麼銜接的上?平常國內就12/06 11:58
reason825 : 陪跑的啊12/06 11:58
reason825 : 所以才會有國際賽T球員打的比較好的錯覺啊12/06 11:59
rtbc222 : 慢慢ABL化12/06 11:59
onejeff : 整併後應該要好好處理華裔的名額了12/06 12:00
riokio: 隔壁桌的人竟然在討論包養...12/06 12:00
onejeff : 同意能幫台灣打國際賽的才能算本土12/06 12:01
belili : 推整理12/06 12:01
ZIDENS : 以前主力華裔好像也都算老了 年輕華裔有誰啊12/06 12:02
ZIDENS : 我只想到緯緯12/06 12:02
jumilin927 : 洋將聯盟!12/06 12:03
wiimas: 樓上是不是被包養12/06 12:03
reason825 : 要提高球賽精彩度,兩個適合的洋將很夠了啦,你們12/06 12:03
reason825 : 看今年的台新,不要說他們的本土有比任何那隊強,12/06 12:03
reason825 : 教練請好一點,洋將適合的,兩個很多了 12/06 12:03
reason825 : 很多人把人員不足當藉口,台新本土都撿剩下的,搶過12/06 12:04
reason825 : 來的大聖還沒什麼出賽,還不是拿兩勝了 12/06 12:04
Branlli: 未看先猜這包養 12/06 12:04
reason825 : 搞一堆外國人,你就不可能看到丁丁有球打還大成長12/06 12:06
VinDD : 推分析12/06 12:07
ZIDENS : https://imgur.com/neEyKEI12/06 12:15
ZIDENS : 其實好像也還好欸==12/06 12:16
omracnata : 本來就還好吧12/06 12:18
Cinedt: 一定又是這包養12/06 12:18
ZIDENS : 不是啦 我這邊是說年輕華裔的部分12/06 12:18
ZIDENS : FIBA認定上簡浩不是還是不算本土嗎 12/06 12:18
reason825 : 前兩名的球隊先發都4個外國人,還好?12/06 12:19
reason825 : 要不要再算一下上場時間?12/06 12:19
ZIDENS : 我說的還好是指如果華裔規則出現變動對未來年輕華裔12/06 12:19
Drither: 包養平台不意外12/06 12:19
ZIDENS : 有沒有影響的還好12/06 12:19
reason825 : 如果你拿Q先發我還沒話說12/06 12:20
reason825 : 沒華裔的也還有外籍生,也都是外國人在上12/06 12:22
linyyggtt : 拿洋將簽林書豪也不是不行吧12/06 12:23
omracnata : 現階段只要他們夠認真夠強就好 錢肯尼跟張文平比較12/06 12:26
Notker: 覺得包養網EY嗎12/06 12:26
omracnata : 納悶而已 錢可以說還有防守 張就賣臉嗎?不過他上場12/06 12:26
omracnata : 時間也少12/06 12:26
ZIDENS : 不行啊 錢不夠 洋將有薪資上限12/06 12:32
nicnic : 開季前領航猿洋將被批最慘,結果開季後貢獻最大XD12/06 12:45
dgq75148 : 華裔+外籍生共兩個名額 限制同時只能有一個上場就好 12/06 12:57
Peycere: 包養網站葉配啦 12/06 12:57
GIE13 : 笑死不就林書豪太強才在那靠北,前兩年有人在意華12/06 13:12
GIE13 : 裔嗎 12/06 13:12
TYUGHJBNM : 說石門爛的 當初很多人吹 = =12/06 13:13
gishileh : 開季之前 領航猿的洋將表現確實沒有理想12/06 13:17
gishileh : 因此當初會這樣唱衰也有道理 如今也沒人會質疑了12/06 13:18
vd422: 記者收了包養網多少啦12/06 13:18
GIE13 : 想上場拿出實力來啦整天想著砍這砍那12/06 13:19
VIC0418 : 應該是說領航新找兩個洋將都是傷剛好的,球隊也給12/06 13:19
VIC0418 : 很大空間慢慢調整,也很明顯都是越打越好12/06 13:19
ChrisPaul03 : 外籍生沒必要 從學校畢業就是外國人 12/06 13:23
flyeagle1978: 身為球迷 我不想花錢去看一群本土打鐵 12/06 13:25
lutano: 包養真亂 12/06 13:25
GIE13 : 前幾年怎酸書緯的,這時又變洋將了 12/06 13:26
anicknick : 推樓上 現在聯盟強度 一年比一年強 12/06 13:29
reason825 : 我覺得應該沒有一隊會承認自己的本土比台新爛吧, 12/06 13:38
reason825 : 找好的教練配合適的洋將,看台新的比賽也沒有都在 12/06 13:38
reason825 : 打鐵的感覺 12/06 13:38
muiwo: 演藝圈一堆包養好嗎 12/06 13:38
omracnata : 以前是沒看過uba時期怎樣 但看丹尼爾打球滿爽的 其 12/06 13:39
omracnata : 他像丁恩迪 Jay 伊波卡也都有過精彩表現 會覺得還好 12/06 13:39
omracnata : 在職業他們有個位置 12/06 13:39
YYYero : 紅明顯 現在制度不錯吧 合併之後強度只會更高而已 12/06 13:41
YYYero : 有實力的本土自然會有發揮空間 讓雜魚早點代謝掉 12/06 13:41
sunuzo: 政治圈一堆包養好嗎 12/06 13:41
Parsons25 : 華裔又有分純華裔跟假華裔,國王那兩個是真華裔 12/06 13:51
utt13 : 又是小黑翟 12/06 14:02
qoocod0923 : 外籍生沒歸化就是幫別人練功出社會就是職業了沒必要 12/06 14:04
qoocod0923 : 特別一個位 12/06 14:04
jeremylouee : 能打國家隊的 才有當作本土討論的意義吧,扣掉那些 12/06 14:25
UNIQC: 有錢人一堆包養好嗎 12/06 14:25
jeremylouee : 太老的 12/06 14:25
lfmrgrf : 只有國王強一點 其它差不多 12/06 14:34
onejeff : 確實能打國家隊的人才能算本土阿.. 12/06 16:13
isawe1222 : 說真的根本沒必要討論那麼多吧,現在的狀況蠻好的 12/06 16:23
isawe1222 : ,如果要討論到照顧外籍這件事真的多了,畢竟大學 12/06 16:23
dewaro: 學生妹被包養多嗎 12/06 16:23
isawe1222 : 端甚至高中端就是很明顯直接拉傭兵進來幫我把聯賽 12/06 16:23
isawe1222 : 名次衝高,後面畢業你要回家還是打職業賽隨便你, 12/06 16:23
isawe1222 : 要求職業去把一個洋將名額配給外籍真的多了,這樣 12/06 16:23
isawe1222 : 一搞如果有人搶到莫巴耶或現在丹尼爾這種程度然後 12/06 16:23
isawe1222 : 其他隊都是歐瑪或是現在大學端名次後面的外籍生又 12/06 16:23
Elfego: 亞洲最大包養網上線啦 12/06 16:23
isawe1222 : 換他們有意見了,而且都到職業了還談照不照顧有點 12/06 16:23
isawe1222 : 問號,夠強就是大家搶著要,不夠強就是回家或是581 12/06 16:23
isawe1222 : 湊合著打就好,就跟本土一樣你夠強時間還是穩定 12/06 16:23
VIC0418 : 外籍生如果願意規劃我覺得才可以考慮本土名額,不然 12/06 16:31
VIC0418 : 真的看不出跟洋將有什麼不一樣打完就回自己國家了 12/06 16:31
Nicodim: 我哥上包養網被我抓包.. 12/06 16:31
qqqaa : 奇怪,富邦不是都靠洋將 12/06 17:05
Whitetext : 華裔現在看起來只要打得好都會留下來變球星啦,像是 12/06 18:47
Whitetext : 書緯跟錢肯尼,離開的都是被thank you。 12/06 18:47
Whitetext : 然後今年這樣改影響最大的是一場可以有三洋將又四節 12/06 18:47
Whitetext : 八人次,本土的出賽空間被大幅擠壓,這點是小力有 12/06 18:47
Foning: 有人包養過洋鬼子嗎 12/06 18:47
Whitetext : 提到的。 12/06 18:47
Whitetext : 應該改成一場兩洋將然後四節八人次,突然一場能上三 12/06 18:47
Whitetext : 個洋將影響實在太大了。 12/06 18:47
Whitetext : 外籍生方面應該打滿五年就得轉洋將or歸化球員(然 12/06 18:47
Whitetext : 後跟華裔一樣的占缺),不可能一輩子難不成都用外籍 12/06 18:47
AKNY: 有錢人為啥都想包養 12/06 18:47
Whitetext : 生身份打到退休。 12/06 18:47
Whitetext : 變成外籍生+華裔+歸化總數最多2位 12/06 18:51
Whitetext : 其中外籍生至多1位 12/06 18:51
Whitetext : 華裔至多2位 12/06 18:51
Whitetext : 歸化至多1位 12/06 18:51
mysister: 有人被洋鬼子包養過嗎 12/06 18:51
Whitetext : 要用哪個身份的球員球隊自己決定這樣,反正最多就是 12/06 18:51
Whitetext : 兩位球員可以用 12/06 18:51
spg715 : 華裔減少,新北直接下降一個檔次 12/06 19:46
spg715 : 戴維斯歸化不算洋將,那阿提諾要多久以後才不算洋將 12/06 19:47
spg715 : ? 12/06 19:47
cir72: 到底要多有錢才會想包養 12/06 19:47
spg715 : 錢肯尼有算球星? 12/06 19:48
pennykidd : 洋將華裔外籍生合起來同時至多三名在場即可 至少有 12/06 20:11
pennykidd : 兩位純本土球員在場上 然後單場只能登錄兩洋 但是 12/06 20:11
pennykidd : 四節八人次 12/06 20:11
fred23 : 笑死、那是因為林家兄弟今年都在一隊、且剛好又是在 12/06 22:17
ATrain: 閨蜜上包養網還推薦我... 12/06 22:17
fred23 : 實力本來就很強的國王、大家才在那裡瓜瓜叫、如果林 12/06 22:17
fred23 : 家兄弟是在獅or鋼鐵人、我就不相信還有人吵哈哈哈 12/06 22:17
VULZSU7289 : 洋將問題可能可以說明教練問題 12/07 14:29